逆さまにした
逆さまにした
読者になる

逆さまにした

2018-05-12から1日間の記事一覧

2018-05-12

【Golang】DFS(深さ優先探索)による無向グラフのcycle detectを実装する

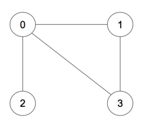
前回のDisjoint-set algorithmに引き続き、Cycle in Undirected Graph Graph AlgorithmのDFSによるcycle detect実装してみます。 前回は、自作のgraphパッケージを使いましたが、グラフの持ち方(データ構造)も検討しながらまとめたいと思います。 DFSによるc…

はてなブックマーク - 【Golang】DFS(深さ優先探索)による無向グラフのcycle detectを実装する
プロフィール
id:cipepser id:cipepser

https://twitter.com/cipepser

読者です 読者をやめる 読者になる 読者になる
X @cipepserをフォロー
このブログについて
リンク
  • Twitter
  • github
最新記事
  • 2025年振り返り
  • 【SHIROBAKO】後工程を考えて仕事するということ
  • 2024年振り返り
  • 2023年振り返り
  • 2022年振り返り
月別アーカイブ
  • ▼ ▶
    2025
    • 2025 / 12
    • 2025 / 7
  • ▼ ▶
    2024
    • 2024 / 12
  • ▼ ▶
    2023
    • 2023 / 12
  • ▼ ▶
    2022
    • 2022 / 12
  • ▼ ▶
    2021
    • 2021 / 12
  • ▼ ▶
    2020
    • 2020 / 12
    • 2020 / 5
  • ▼ ▶
    2019
    • 2019 / 12
    • 2019 / 9
    • 2019 / 8
    • 2019 / 5
    • 2019 / 4
    • 2019 / 3
    • 2019 / 2
    • 2019 / 1
  • ▼ ▶
    2018
    • 2018 / 12
    • 2018 / 10
    • 2018 / 9
    • 2018 / 8
    • 2018 / 7
    • 2018 / 6
    • 2018 / 5
    • 2018 / 4
    • 2018 / 3
    • 2018 / 2
    • 2018 / 1
  • ▼ ▶
    2017
    • 2017 / 12
    • 2017 / 11
    • 2017 / 10
    • 2017 / 9
    • 2017 / 8
    • 2017 / 7
    • 2017 / 6
    • 2017 / 5
    • 2017 / 4
    • 2017 / 3
    • 2017 / 2
    • 2017 / 1
  • ▼ ▶
    2016
    • 2016 / 12
    • 2016 / 11
    • 2016 / 8
    • 2016 / 6
    • 2016 / 4
    • 2016 / 1
逆さまにした 逆さまにした

Powered by Hatena Blog | ブログを報告する

引用をストックしました

引用するにはまずログインしてください

引用をストックできませんでした。再度お試しください

限定公開記事のため引用できません。

読者です 読者をやめる 読者になる 読者になる